Untersuchung von Dotierprofilen in Halbleitern
mittels SIMS-Tiefenprofilanalyse
In Halbleitern wird die gewünschte Leitfähigkeit durch Dotieren mit Fremdatomen erzielt. Atome mit einem zusätzlichen freien Elektron (sog. Donatoren) bewirken eine n-Leitfähigkeit, Atome mit einem fehlenden freien Elektron (sog. Akzeptoren) bewir-ken eine p-Leitfähigkeit des Halbleiters. Typische Dotierstoffe für Silizium sind B, Al (p-leitend) oder P, As und Sb (n-leitend).
Bei der Herstellung des Halbleiters werden zumeist Dotierstoffe mit eingebracht, die eine gleichmäßige Dotierung bewirken. Eine inhomogene Dotierung wird erreicht durch Implantation oder Diffusion. Die Dotierstoffkonzentrationen liegen in der Regel zwi-schen wenigen Atomprozent bis herab in den ppm-Bereich.
Das etablierte Verfahren zur Kontrolle der Dotier-stoffkonzentration und des Konzentrationsverlaufs in die Tiefe ist wegen ihrer hohen Nachweisstärke die Sekundärionen-Massenspektrometrie (SIMS):
SIMS, analytisches Verfahren:
Mit einem fokussierten Ionenstrahl wird der zu ana-lysierende Bereich der Probe abgetragen („Sput-tering“, „Festkörperzerstäubung“). Die abgesputter-ten Ionen werden in einem Massenspektrometer nach ihrer Masse separiert und anschließend detek-tiert. Die Probe wird durch diesen Ionenbeschuss sukzessive abgetragen, man erhält somit den Tie-fenverlauf der Dotierstoffkonzentration.
Zur Berechnung der Konzentration aus den gemes-senen Intensitäten muss ein geeigneter Kalibrier-standard mitgemessen werden. Die resultierende Sputtertiefe kann durch ein anschließendes Ver-messen des Sputterkraters bestimmt werden, z. B. durch Weißlichtinterferometrie (WLI).
Beispiel Bor- und Phosphor-Profile
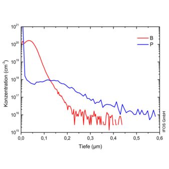
In den folgenden Bildern sind Konzentrations-Tiefenprofile einer durch Implantation erzeugten Bor-Dotierung und einer Phosphor-Dotierung darge-stellt. Für das B-Profil erfolgte der Sputterabtrag mit O2+-Ionen, der Nachweis als B+-Ion. Die hier erzielte Nachweisgrenze liegt bei 1015 cm-3.
Für das P-Profil wurde mit Cs+-Ionen gesputtert, nachgewiesen wurde das P--Ion. Der P-Nachweis muss mit erhöhter Massenauflösung erfolgen, um die Überlagerung des P-Peaks mit dem benachbar-ten 30Si1H—Peak aufzulösen. Die hier erzielte Nach-weisgrenze liegt knapp unter 1016 cm-3.


Kombiniertes Bor- und Phosphor Dotierstoffprofil
Im Bild rechts ist, zusammengesetzt aus zwei ge-trennten Messungen jeweils für Bor und Phosphor, das Konzentrations-Tiefenprofil einer Probe zu sehen, bei der sowohl B als auch P implantiert wurden. Man erkennt die unterschiedlichen Implantations-tiefen und Konzentrationen.
